依氟鸟氨酸
用于非洲锥虫病(非洲睡眠病)。通过阻断锥虫属寄生虫增殖所必需的酶而起作用。
产品名称
-
中文名依氟鸟氨酸
-
英文名Eflornithine
-
中文别名
-
英文别名
Eflornithine -
常用名依氟鸟氨酸
-
C A S号67037-37-0
物理性质
-
密度1.293g/cm3
-
沸点347ºC at 760 mmHg
-
熔点N/A
-
化学式C6H12F2N2O2
-
结构式
1、 摩尔折射率:38.73
2、 摩尔体积(cm3/mol):140.8
3、 等张比容(90.2K):362.2
4、 表面张力(dyne/cm):43.7
5、 极化率(10-24cm3):15.35
-
闪点163.7ºC
-
分子量182.16800
-
精确质量182.08700
-
P S A89.34000
-
外观形状
-
储存条件-15°C
-
稳定性
-
水溶解性
-
形态结晶。
-
H L B值
-
粘度
-
PH值
作用/用途
用于非洲锥虫病(非洲睡眠病)。通过阻断锥虫属寄生虫增殖所必需的酶而起作用。
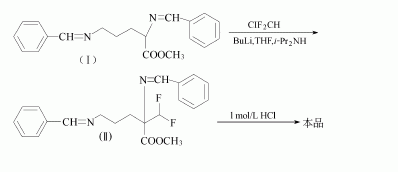
制备方法
将15 THF冷至-80℃,在氮气保护下加入2.82 L二异丙胺,再加入12L 15%丁基锂的己烷溶液,加入的速度保持反应液的温度为-75~-80℃。然后加入N,N’-二苯亚甲基鸟氨酸甲酯(I)溶于15L THF的溶液。加毕,缓慢升至35~40℃,并用一氯二氟甲烷鼓泡置换氮气,进行反应。加入20L饱和氯化钠溶液和75L异丙醚,分出有机层,水层提取。提取液和有机层合并,用饱和氯化钠溶液洗后,浓缩至剩油状物,即为化合物(Ⅱ)。该油状物和30 Llmol/L盐酸,在室温反应3h,进行水解。反应结束后,用氯仿提取,提取液废弃。经提取的水层用6L水稀释,调至Ph值3.3,加热,过滤,洗涤,重结晶,得依氟鸟氨酸。
安全提醒
MSDS
原料简介
应用范围
毒性和生态
安全信息
是否危险品
危险性
危险类别码
危险等级
触发危险方式
安全技术说明书
环境影响程度
包装与储运
相关供应商

搜索







