
硫酸胍
1.用作医药、农药、染料中间体
产品名称
-
中文名硫酸胍
-
英文名Guanidinium sulfate
-
中文别名硫酸亚氨脲
-
英文别名
Guanidinium sulfate Cuanidine sulfate Guanidine sulfate (2:1) Guanidinium sulphate carbamimidoylazanium sulfate EINECS 214-674-0 Guanidine, sulfate (2:1) Bis[amino(imino)methanaminium] sulfate Bisguanidinium sulfate -
常用名硫酸胍
-
C A S号1184-68-5
物理性质
-
密度1.55g/cm3
-
沸点330ºC at 760 mmHg
-
熔点290-293°C
-
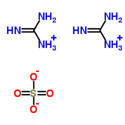
化学式C2H10N6O4S
-
结构式
-
闪点281.6ºC
-
分子量216.219
-
精确质量216.064072
-
P S A221.60000
-
外观形状
-
储存条件
-
稳定性
-
水溶解性
-
形态
-
H L B值
-
粘度
-
PH值
作用/用途
1.用作医药、农药、染料中间体
制备方法
安全提醒
MSDS
原料简介
应用范围
毒性和生态
安全信息
危害码 (欧洲) | T |
---|---|
风险声明 (欧洲) | R45:May cause cancer. R10:Flammable. R20/22:Harmful by inhalation and if swallowed . |
安全声明 (欧洲) | S53-S45 |
危险品运输编码 | UN 2608 3/PG 3 |
WGK德国 | 3 |
RTECS号 | TZ5250000 |
包装等级 | III |
危险类别 | 3.2 |
海关编码 | 2925290090 |
是否危险品
危险性
危险类别码
危险等级
触发危险方式
安全技术说明书
环境影响程度
包装与储运
相关供应商