莫西沙星
-
中文名莫西沙星
-
英文名Moxifloxacin
-
中文别名1-环丙基-7-(S,S-2,8-二氮杂双环[4.3.0]壬烷-8-基)-6-氟-8-甲氧-4-氧代-1,4-二氢-3-喹啉羧酸 | (4ΑS-CIS)-1-环丙基-6-氟-1,4-二氢-8-甲氧基-7-(六氢-6H-吡咯[3,4-B] 吡啶-6-基)-4-氧-3-喹啉羧酸 | 莫西沙星
-
英文别名
1-Cyclopropyl-6-fluoro-8-methoxy-7-[(4aS,7aS)-octahydro-6H-pyrrolo[3,4-b]pyridin-6-yl]-4-oxo-1,4-dihydro-3-quinolinecarboxylic acid 1-Cyclopropyl-6-fluoro-8-methoxy-7-((4aS,7aS)-octahydro-6H-pyrrolo[3,4-b]pyridin-6-yl)-4-oxo-1,4-dihydro-3-quinolinecarboxylic Acid MAXIOFFOXACIN BAY 12-8039 1-cyclopropyl-6-fluoro-8-methoxy-7-[(4aS,7aS)-octahydro-6H-pyrrolo[3,4-b]pyridin-6-yl]-4-oxo-1,4-dihydroquinoline-3-carboxylic acid Moxifloxacin Moxeza Avdox Vigamox Avelox 3-Quinolinecarboxylic acid, 1-cyclopropyl-6-fluoro-1,4-dihydro-8-methoxy-7-[(4aS,7aS)-octahydro-6H-pyrrolo[3,4-b]pyridin-6-yl]-4-oxo- Avalox MFCD04117996 -
常用名莫西沙星
-
C A S号151096-09-2
-
密度1.4±0.1 g/cm3
-
沸点636.4±55.0 °C at 760 mmHg
-
熔点193-195 °C(lit.)
-
化学式C21H24FN3O4
-
结构式
1、 摩尔折射率:101.82
2、 摩尔体积(cm3/mol):284.9
3、 等张比容(90.2K):795.0
4、 表面张力(dyne/cm):60.5
5、 极化率(10-24cm3):40.36
-
闪点338.7±31.5 °C
-
分子量401.43
-
精确质量
-
P S A83.80000
-
外观形状近乎于白色晶体粉末
-
储存条件
-
稳定性
-
水溶解性
-
形态
-
H L B值
-
粘度
-
PH值
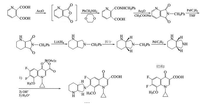
推荐如下合成路线,中间体1-环丙基-6,7-二氟-1,4-二氢-8-甲氧基-4-氧代-3-喹啉羧酸与硼的螯合物按文献[8]方法制备.
(1).6-苄基-吡咯并[3,4-b]吡啶-5,7-二酮的制备
在反应瓶中加入75.15g(0.45mol)和乙酸酐170ml(1.8mol),加热微回流搅拌反应4.5h.减压浓缩至干,剩余物加二烷100ml,搅拌加热至70 ºC,待溶解后减压蒸除溶剂,得白色固体.直接进行下步反应.
在反应瓶中加入二烷200ml和上步骤所得白色固体,室温搅拌下滴加苄基胺(PhCH2NH2)49.2ml(0.45mol),约30min滴完,继续在室温搅拌1.5h.减压浓缩至干,剩余物中加入乙酸酐191ml(2.03mol)和乙酸钠5.54g(0.068mol),升温至125 ºC
,在该温度保持搅拌3.5h.冷至室温,过滤,滤饼水洗,乙醇洗,抽干,干燥,得白色固体92.3g.滤液减压浓缩至体积40ml,室温放置过夜析晶,回收6.02g,共得98.3g,收率91.8%,mp161~163 ºC.
(2) 6-苄基-六氢-吡咯并[3,4-b]吡啶-5,7-二酮的制备
在高压釜中加入20g(0.084mol)、THF150ml和5%Pd/C 2.5g,用N2置换釜内空气三次,氢气置换N2三次,充氢(85 ºC/8Mpa)反应,直至不吸氢为止(大约5h),冷却,放余压,滤除反应液中Pd/C,滤液减压浓缩至干,得黄色油状物粗品20.42g,不要纯化,直接进行下步反应.
(3)6-苄基-八氢-吡咯并[3,4-b]吡啶的制备
在反应瓶中于氮气保护下加入THF 500ml和LiAlH4 10.3g(0.27mol),并在搅拌下和氮气保护下滴加上步无水THF(60ml)溶液,加毕,搅拌缓慢升温至回流,搅拌回流16h.冷至室温,慢慢加入水10.5ml和THF100ml,滴加5%NaOH25ml,加毕,搅拌回流1h.冷却至室温,过滤,滤渣用THF洗,滤液及洗液合并,减压浓缩至干,得棕色黏稠状液体17.0g,收率93.7%.
(4) (S,S)-6-苄基-八氢-吡咯并[3,4-b]吡啶的制备在
反应瓶中加入L-(+)-酒石酸21.1g(0.141mol)、DMF60ml,搅拌加热到80 ºC溶解,30min内滴加[19.0g(0.088mol)]的DMF(20ml)溶液,同温度下搅拌1h,冷却至室温后再搅拌1h,放置过夜.过滤,滤饼用DMF洗,乙醇洗,用乙二醇单甲醚重结晶,得(R,R)- (S,S)-6-苄基-八氢-吡咯并[3,4-b]吡啶的L-酒石酸盐白色晶体13.6g,收率84.4%,mp112~120 ºC .
合并滤液和重结晶洗液,减压浓缩至干,剩余物中加水50ml,搅拌下加入30%NaOH水溶液50ml,干90~100 ºC 搅拌1h.冷却至室温,除去少量漂浮的黑色黏稠物,用环己烷(150ml*3)提取,有机层用无水硫酸钠干燥,过滤,滤液减压浓缩,得棕色液体10g,待用.
在反应瓶中加入D-(-)-酒石酸11.0g(0.073mol)和DMF 35ml,搅拌加热至80 ºC 溶解,于30min内滴加上述所得之棕色液体的DMF(15ml)溶液,同温搅拌1h.自然冷却至室温后再搅拌1h,放置过夜.过滤,滤饼用(S,S)- (S,S)-6-苄基-八氢-吡咯并[3,4-b]吡啶的D-酒石酸盐12.5g,收率77.6%,mp112~120 ºC
(S,S)- (S,S)-6-苄基-八氢-吡咯并[3,4-b]吡啶的D-酒石酸盐12.5g(0.034mol)加
到反应瓶,加水40ml,搅拌溶解,搅拌下加入30%NaOH水溶液11ml,室温搅拌1h.用环己烷(150ml*3)提取,有机层用无水硫酸钠干燥,过滤,滤液减压浓缩至干,得黄色黏稠液(S,S)-6-苄基-八氢-吡咯并[3,4-b]吡啶 6.6g,收率89.4%.
(5).(S,S)-八氢-6H-吡咯并[3,4-b]吡啶的制备
在高压釜加入(S,S)-6-苄基-八氢-吡咯并[3,4-b]吡啶 6.5g(0.03mol)和甲醇
50ml,搅拌溶解,加入5%Pd/C 1.35g,于90 ºC /9MPa下氢化(操作同(2))16h.过滤,滤液减压浓缩至干(浴温<45 ºC ).剩余物溶于水20ml,用环己烷(20ml*3)提取,有机层用水反提取(30ml*3),合并水层,加入NaOH 2g,用氯仿(30ml*3)提取,有机层用无水硫酸钠干燥,过滤,滤液减压浓缩至干,得浅黄色黏液.3.4g,收率89.9%.
(6). (1-环丙基-6,7-二氟-1,4-二氢-8-甲氧基-4-氧代-3-喹啉羧酸-O3,O4)双(乙酰氧)-硼酸盐(或硼螯合物)的制备
在反应瓶中加入硼酸57.2g(0.925mol)和氯化锌1.24g,再向该混合物中加入乙酸酐300ml,搅拌升温至110 ºC ,在该温度搅拌1.5h.再向该反应混合物中加入冰醋酸400ml,在同温度下搅拌1h.放冷后,在50~60 ºC加入1-环丙基-6,7-二氟-1,4-二氢-8-甲氧基-4-氧代-3-喹啉羧酸 200g(0.619mol),随后加入200ml冰醋酸,在同温度下搅拌5h.将反应混合物减压浓缩,剩余油状物中加入8L冰水,产生沉淀,过滤收集,再悬浮至3L水中,过滤,干燥,得到(1-环丙基-6,7-二氟-1,4-二氢-8-甲氧基-4-氧代-3-喹啉羧酸-O3,O4)双(乙酰氧)-硼酸盐(或硼螯合物) 249g,它是一亮橙黄色粉末状物,mp113~117 ºC
(7) 莫西沙星的合成
在反应瓶中加入(1-环丙基-6,7-二氟-1,4-二氢-8-甲氧基-4-氧代-3-喹啉羧酸-O3,O4)双(乙酰氧)-硼酸盐(或硼螯合物) 2.0g(4.73mmol)和乙腈10ml,搅拌溶解,再加入三乙胺0.5ml和(S,S)-八氢-6H-吡咯并[3,4-b]吡啶 0.66g(5.24mmol),搅拌回流3h.减压浓缩至干,剩余物加石油醚,捣碎分散固化,得黄色固体过滤,滤饼用石油醚洗,抽干,溶于7%NaOH溶液13.5ml,于80 ºC 搅拌3h,冷至室温,过滤,滤液用5%乙酸水溶液调至PH7,过滤,滤饼用5%乙酸水溶液溶解,过滤,滤液用5%NaOH水溶液调至PH7,过滤,滤饼用水洗,乙醇洗,抽干,干燥,得淡黄色固体莫西沙星 1.53g,收率80.5%,mp203~207 ºC
| 危害码 (欧洲) | Xn: Harmful; |
|---|---|
| 风险声明 (欧洲) | R22 |
| 安全声明 (欧洲) | S26-S37/39 |
| WGK德国 | 3 |
| 海关编码 | 29329970 |








